Наукові статті
Властивості олії чайного дерева
Виробництво та міжнародні норми олії чайного дерева
Наукові дослідження олії чайного дерева
Journal of Applied Microbiology 2000, 88. Стор .170-175
Механізм антимікробної дії ефірної олії Melaleuca alternifolia (олія чайного дерева)
S.D. Cox 1, C.M. Mann 1, J.L. Markham 1, H.C. Bell 2, J.E. Gustafson 3, J.R. Warmington 3 and S.G. Wyllie 3 .
1 Центр биоструктурных и биомолекулярных исследований. Университет Западного Сиднея, Хоксбери, Новый Южный Уэльс,
2 Австралийский научно-исследовательский институт масла чайного дерева. Лисмор. Новый Южный Уэльс,
3 GeneticaBiotechnologies, Бентли, Западная Австралия
7236/5/99: отримано 14 травня 1999; доопрацьовано 16 серпня 1999 року та прийнято 16 серпня 1999 року
S.D. COX, CM, MANN, JL. MARKHAM, H.C. BELL, J.E. GUSTAFSON, J.R. WARMINGTON AND S.G. WYLLIE. 2000. Ефірна олія Melaleucaalternifolia (чайне дерево) має широкий спектр антимікробної активності. Механізм його дії щодо грамнегативних бактерій EscherichiacoliAG100, грампозитивних бактерій StaphylucoccusaureusNCTC8325, а також дріжджових грибків Candida Albicans досліджувався за допомогою кількох методів. У даній статті повідомляється, що вплив на ці мікроорганізми олії чайного дерева в мінімальній інгібуючій і мінімальній бактерицидній/фунгіцидній концентрації викликає пригнічення дихання, а також збільшення проникності цитоплазматичної мембрани бактерій і плазматичної мембрани дріжджів, що підтверджується під час охолодження. У кишкової палички та золотистого стафілококу олія чайного дерева також викликала втрату іонів калію. Також спостерігалися відмінності сприйнятливості тестованих організмів до олії чайного дерева: вони інтерпретуються з погляду зміни швидкості проникнення монотерпенов через клітинну стінку та структури клітинної мембрани. Здатність олії чайного дерева порушувати проникність бар'єру структур клітинних мембран із супутньою втратою хеміосмотичного контролю є найбільш імовірною причиною його бактерицидної/фунгіцидної дії при мінімальних рівнях, що інгібують.
ВСТУП
Ефірна олія Melaleucaalternifolia, відома як олія чайного дерева, має довгу історію застосування як місцевий антисептик (Markham1999). Останнім часом воно має репутацію безпечного, природного та ефективного антисептика. Це викликало сплеск популярності цієї олії і в даний час вона як основна антимікробна речовина або природний консервант входить до складу багатьох фармацевтичних і косметичних продуктів зовнішнього застосування.
Хімічний склад олії чайного дерева добре вивчений; воно містить в основному циклічні монотерпени (Brophyі ін., 1989), з яких близько 50% окислених і близько 50% вуглеводні. Олія чайного дерева володіє широким спектром антимікробної активності (див. Markham1999 для огляду), яка в основному обумовлена терпін-4-олом (Southwell і ін. 1993; Carsonі Riley, 1995).
Як відомо, безліч різних ефірних олій мають антимікробні властивості і в багатьох випадках ця здатність пов'язана з наявністю активних монотерпенових компонентів (Knoblochі ін. 1988; Beylier1979; Morrisі ін. 1979). Деякі дослідження також показали, що монотерпени мають мембраноруйнівний ефект (огляд Sikkema та ін., 1995). Вивчення клітин кишкової палички після контакту з олією чайного дерева за допомогою електронної мікроскопії показало втрату клітинного електроноплотного матеріалу та коагуляцію цитоплазматичних компонентів, хоча було очевидно, що ці ефекти вторинні і відбулися після загибелі клітин (Gustafsonі ін. 1998). Ця олія також стимулює виведення іонів калію з клітини, а також пригнічувало дихання у суспензіях клітин кишкової палички, що підтверджує його летальну дію шляхом цитоплазматичного пошкодження мембрани (Cox та ін., 1998).
Нижче повідомляються результати подальшого вивчення антимікробної активності олії чайного дерева щодо трьох клінічно важливих мікроорганізмів Е. coli, Staphylоcoccusaureus і Candida Albicans.
МАТЕРІАЛИ ТА МЕТОДИ
Олія чайного дерева
У всіх тестах застосовувалася олія чайного дерева з партія 6081, надана MainCamp, Ballina, Новий Південний Уельс, Австралія.
Зростання тестових мікроорганізмів
Використані у всіх аналізах клітини двічі пересівалися в ISO-сенсітест бульйон (Oxoid, Basingstoke, Великобританія) при дослідженні кишкової палички штаму AG100, дериват К-12 (Georgey Levi, 1983) або Staph. aureusNCTC8325, і в бульйон з екстрактом солоду (Oxoid) при дослідах з C. AlbicansKEMН5 при 37 °C.
Мінімальні інгібуючі концентрації (МІК) та мінімальні бактерицидні/фунгіцидні концентрації (МБК).
Визначення МІК/МБК виконувалося згідно з описом проводили, як описано у Gustafson та ін (1998), з наступними винятками. В експериментах з C. Albicans замість бульйону з екстрактом солоду (Oxoid) використовувався ISO-сенсітест бульйон (Oxoid), з розведеної/аналізованої суміші був виключений Твін-80. Мінімальна бактерицидна/фунгіцидна концентрація визначалися шляхом відбору проб по 100 мкл з кожної пробірки, в яких не було зростання на нейтралізуючому бульйоні, що містить 30 г/л триптон-соєвого бульйону (Oxoid), 30 г/л нейтралізованого гідролізату печінки (Oxoid) /л лецитину (DefianceMillingCo., AcaciaRidge, Квінсленд). Після 10 хв інкубації при кімнатній температурі в кожну пробірку додавали по 10 мл ISO-сенсітест (або бульйон з екстрактом солоду в дослідах з C. Albicans), і потім виконувалася інкубація при 37 ° С протягом 72 годин. Мінімальна бактерицидна/фунгіцидна концентрація визначалася як мінімальна концентрація олії чайного дерева, за якої не було зростання мікрофлори.
Аналіз життєздатності
Нічна культура інокулювалася на ISO-сенсітест бульйон (бульйону з екстрактом солоду, який використовується в експериментах з C. Albicans). Культура вирощувалась при 37 °С до експоненційної фази (4-5 год), один раз промивалася і ресуспендувалася в стерильні 100 мл конічні колби, що містять по 20 мл суспензії клітин і заданий обсяг олії чайного дерева. Вміст кожної колби постійно перемішували магнітною мішалкою для рівномірного розподілу олії по всьому об'єму. Через задані проміжки часу відбиралися аліквоти (1 мл) 9 мл нейтралізуючого бульйону і витримувалися при кімнатній температурі 10 хвилин. Виконувалися 10-кратні послідовні розведення нейтралізуючого бульйону в 0,1% пептону, які розливались у підготовлені чашки з триптон-соєвим агаром (Oxoid). Колонії підраховувалися після 3-х денної інкубації при 37°C та кількість життєздатних клітин повідомлялася як кількість колонієутворюючих одиниць (КОЕ) на мл.
Вимірювання дихання
Рівень мікробного дихання визначався за допомогою кисневого електрода, згідно з описом Cox та ін. (1998). В експериментах з Е. coli C. Albicans клітинні суспензії попередньо інкубувалися протягом 5 хвилин при заданій концентрації олії чайного дерева, і потім вимірювалася дихальна активність. У дослідах із Staph. aureus, клітини протягом 10 хвилин попередньо інкубувалися в присутності олії чайного дерева, і потім вимірювалися.
Відтік іонів калію
Концентрація іонів калію в суспензіях клітин вимірювалася за допомогою калієвого селективного електрода згідно з описом Cox та ін. (1998). Загальна концентрація вільного калію суспензії Staph. aureusвизначалася після інкубації в лізостафіні (100 мкг/мл) при 37°С протягом 60 хвилин з подальшою обробкою ультразвуком. Для вимірювання сумарного вільного калію C. Albicans клітини лізувалися інкубацією в хітіназі (l мг/мл) і літіказі (l мг/мл) при 37° С протягом 60 хвилин, а потім оброблялися ультразвуком. Повнота лізису у кожному разі підтверджувалася мікроскопічним дослідженням.
Поглинання йодиду пропідію
Клітини (100 мл культури) вирощувалися протягом ночі згідно з описом вище, промивали та ресуспендувалися в 50 ммоль/л натрій-фосфатному буфері, рН 7,1. Аліквоти (1 мл) поміщалися в конічні колби, що містять 19 мл буфера та задану кількість олії чайного дерева. Щільність інокуляції становила приблизно 10 КУО/мл. Після 30-хвилинної інкубації при кімнатній температурі аліквоти по 50 мкл переносилися в пробірки Еппендорфа, що містять 950 мкл фосфатного буфера в пробірках FACS (BectonDickinson, ImmunocytometrySystems, MountainView, Каліфорнія). Ці пробірки зберігалися на льоду, і в них додавали по 5 мкл розчину, що складається з 2-5 мг/мл йодиду пропідію (MolecularProbes, Eugene, штат Орегон), розчиненого в очищеній воді milliQ, до досягнення кінцевої концентрації йодиду пропідію/10 мк мл. Відразу після цього визначалася відсоткова частка клітин, пофарбованих йодидом пропідію, за допомогою FAC-Scanпроточного цитометра (BectonDickinson).
Аналіз виведення карбоксифлуоресцеїну під впливом олії чайного дерева
За процедурою New (1990) готувалися багатошарові ліпідні везикули. Фосфоліпіди (14 мг фосфатидилетаноламіну, 4 мг фосфатиділгліцерину та 2 мг кардіоліпіну) розчиняли в хлороформі в круглодонній колбі на 100 мл і випарювали насухо. Після цього суху суміш фосфоліпідів ресуспендували в 2 мл 50 ммоль/л натрій-фосфатного буфера, рН 7,0, що містить концентрацію, що самогаситься, карбоксифлуоресцеїн (100 ммоль/л), з легким струшуванням зі скляними кульками. Отриману суспензію ліпосом (багатошарових ліпідних везикул) потім діалізували протягом ночі для видалення неінкапсульованого карбоксифлуоресцеїну. Суспензію ліпосом (100 мкл) вливали в пробірку Еппендорфа, потім додавали фосфатний буфер і задану кількість масла чайного дерева до досягнення кінцевого об'єму 1 мл. Після цього суміш перемішували вихровою мішалкою та інкубували протягом заданого інтервалу часу з періодичним перемішуванням кожні 5 хвилин. Після закінчення інкубаційного періоду 50 мкл ліпосомної суспензії відбирали 2 мл фосфатного буфера. Флуоресценцію вимірювали у скляній кюветі флуоресцентним спектрофотометром (HitachiF-4500, Hitachi, Сан-Хосе, Каліфорнія, США, λех = 470 нм;. λ е m = 520 нм). Стовідсотковий витік карбоксифлуоресцеїну визначався шляхом додавання тритону X-100 1,0об.%.
РЕЗУЛЬТАТИ
Мінімальні інгібуючі концентрації (МІК) та мінімальні бактерицидні/фунгіцидні концентрації (МБК) олії чайного дерева
Для кишкової палички штаму AG100 та Staph. aureusNCTC8325 значення МІК та MБК олії чайного дерева становили відповідно 0,25об.% та 0,5об.%. Значення МІК та MБК для C. AlbicansKEM115 були вдвічі нижчими – відповідно, 0,125об.% та 0,25об.%.
Вплив олії чайного дерева на життєздатність клітин
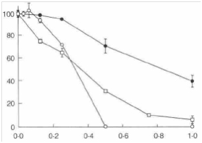
Вплив олії чайного дерева на життєздатність кишкової палички, золотистого стафілокока та С. Albicans показано на рис. 1 (а, б, в). Кожен графік відображає результати трьох окремих експериментів, які показали подібні результати. До мінімальної інгібуючої та мінімальної бактерицидної концентрації олії чайного дерева найбільш чутливою виявилася кишкова паличка, потім С. Albicans і, нарешті, золотистий стафілокок.
|
Log 10 ДЕЯ/мл Log 10 ДЕЯ/мл Log 10 ДЕЯ/мл |
|
|
Час, хвилини |
Мал. 1. Вплив олії чайного дерева на життєздатність тестових мікроорганізмів:
(а) кишкова паличка AG 100: (О) без олії чайного дерева; (■) 0,50 об.% олії чайного дерева.
(b) золотистий стафілокок NCTC 100: (О) без олії чайного дерева; (•) 0,25% об% олії чайного дерева; (■) 0,50 об.% олії чайного дерева.
(с) C. Albicans KEM Н6:100: (О) без олії чайного дерева; (●) 0,125 об.% олії чайного дерева; (□) 0,25 об.% олії чайного дерева; (■) 0,50 об.% олії чайного дерева.
Вплив олії чайного дерева на дихання
Олія чайного дерева пригнічувала дихання в суспензії клітин кишкової палички, золотистого стафілококу та C. Albicans (рис. 2). Пригнічення дихання Е. coliпочиналося при 0,25 об.% олії чайного дерева і дихання повністю зупинялося при 0,5об.%. Дихання клітин С. Albicans пригнічувалося при 0,125об.%, яка була мінімальною аналізованою концентрацією, що відповідає МІК цього мікроорганізму. Інгібування клітинного дихання Staph. aureus (після 10 хвилин дії олії чайного дерева), починалося при концентрації 0,5об.%.
Вплив олії чайного дерева на цілісність мембрани
Після 30-хвилинної експозиції 0,25 об.% олії чайного дерева клітинних суспензій кишкової палички, золотистого стафілококу і C. Albicans мали місце збільшення клітинної проникності для йодиду пропідію і флуоресцентно-забарвленої нуклеїнової кислоти (рис. 3). олії чайного дерева. Отсутствие проникновения йодида пропидия через интактную цитоплазматическую или плазматическую мембрану (см. Brulи др. 1997; Masonи др. 1997; Wenischи др. 1997; Lebaronи др.1998) подтверждалась низким уровнем поглощения, наблюдавшимся в клетках, не подвергавшихся воздействию масла чайного дерева (рис 3).
Олія чайного дерева в концентрації 0,25 об.% викликало виведення іонів калію з клітин кишкової палички та золотистого стафілококу (рис. 4). Дані трьох окремих, що показали подібні результати, експериментів свідчать, що витік з клітин E.coli починався відразу після додавання олії чайного дерева і приблизно через 30 хв досягала 100% сумарного запасу клітинного калію. Виведення іонів калію з клітин золотистого стафілокока починалося приблизно через 5 хвилин дії олії чайного дерева і тривало повільнішими темпами, досягаючи після 30 хв 20%. Витік іонів калію з клітин C. Albicans у присутності 0,25об.% олії чайного дерева протягом двох годин не перевищувала фонового рівня (дані не представлені). Тим не менш, після 60-хвилинного контакту з 2,5 об.% олії чайного дерева кількість калію в надосадових рідинах клітин становила 23,1% від такого в надосадових рідинах загальних клітинних лізатів.
Олія чайного дерева (0,25 об.%) також стимулювало виведення інкапсульованого карбоксифлуоресцеїну із суспензії багатошарових ліпідних везикул (рис. 5).
|
Пригнічення дихання, % контролю |
|
|
Олія чайного дерева, %. |
Мал. 2 Вплив концентрації олії чайного дерева на швидкість споживання Про 2 у суспензії клітин кишкової палички AG 100 (O), золотистого стафілокока NCTC 8325 (●) та C. Albicans KEM Н5 (□). Розмір помилки представлена стандартними відхиленнями (n = 3) за даними двох експериментів. У деяких випадках величина похибки була настільки малою, що стовпчик, що її відображає, перекривався символом даних.
|
Відсоткова частка клітин, пофарбованих йодидом пропідію |
|
Мал. 3 Поглинання йодиду пропідію в суспензії клітин кишкової палички AG100, золотистого стафілококу NCTC 8325 та C. Albicans KEM H5. Клітини піддавалися дії 0,25об.% олії чайного дерева протягом 30 хв (□) і порівнювалися з контрольною колбою без олії чайного дерева (■). Розмір помилки представлена стандартними відхиленнями, розрахованими за даними окремих аналізів (n = 3).
ОБГОВОРЕННЯ
У цьому дослідженні олія чайного дерева в мінімальній інгібуючій концентрації пригнічувало дихання клітин кишкової палички, золотистого стафілококу та C. Albicans. Не виключено, що олія чайного дерева безпосередньо пригнічує дихальні ферменти або обмінні процеси. Разом з тим отримані результати показують, що мінімальні інгібуючі рівні олії чайного дерева також змінюють структуру клітинної мембрани. Спостерігалося підвищене поглинання нуклеїнової кислоти, пофарбованої йодидом пропідію, для якого мембрани клітин, як правило, непроникні. Крім того, відбувався витік іонів калію, який у суспензії клітин E.coli починався відразу ж після додавання олії чайного дерева, а в суспензії клітин золотистого стафілококу протягом 5 хвилин.
|
Відтік К (% від загальних запасів К у клітинах) |
|
|
Час, хвилини |
Мал. 4 Дія 0,25 об.% олії чайного дерева на відтік іонів калію в клітинних суспензіях кишкової палички AG 100 та золотистого стафілокока NCTC 8325. (O): Е. coli 0,50% про% олії чайного дерева, (●):Е . coli, без олії чайного дерева. (□): Staph. aureus, 0,25% об% олії чайного дерева, (■): Staph. aureus без олії чайного дерева.
В експериментах з C. Albicans не було виявлено появи іонів калію в надосадовій рідині клітин, що містять 0,25 об.% олії чайного дерева. Тим не менш, фарбування клітин С. Albicans йодидом пропідію після додавання олії чайного дерева є явною ознакою пошкодження плазматичної мембрани. Можливо, що іони калію не з'являються в надосадовій рідині (після дії протягом 2 годин) тому, що вони залишаються ув'язненими в товстому шарі клітинної стінки Candida Albicans. Враховуючи підвищену проникність для йодиду пропідію, малоймовірно, щоб плазматична мембрана залишалася непроникною для іонів калію. Додатковим підтвердженням загальної токсичності олії чайного дерева щодо мембранних структур є його вплив на проникність багатошарових ліпосом.
Раніше ми показали, що олія чайного дерева в мінімальній інгібуючій концентрації пригнічує дихання та викликає витік клітинного калію в клітинах E.coli (Cox та ін., 1998). Ці явища, а також висновки, представлені тут, показують, що олія чайного дерева пошкоджує структуру клітинних мембран кишкової палички, золотистого стафілококу та C. Albicans. Цитоплазматичні мембрани бактерій, плазматична та мітохондріальна мембрани дріжджів забезпечують бар'єр для малих іонів, зокрема H , K , Na та Ca 2 і дозволяють клітинам і органеллам контролювати надходження та відтік із клітин різних сполук. Ця роль бар'єру проникності клітинних мембран є невід'ємною частиною багатьох клітинних функцій, зокрема збереження енергетичного стану клітини, інших мембранозв'язаних процесів енергообміну, транспорту солей, регуляції обміну речовин та регулювання тиску тургору (Booth 1985; Poolman та ін. 1987; Trumpo9; Trumpo9; .
|
Відтік карбоксифлуоресцеїну, % від загальної кількості |
|
|
Час, хвилини |
Мал. 5 Витік карбоксифлуоресцеїну з багатошарових ліпідних везикул під впливом олії чайного дерева. (О): без олії чайного дерева; (●): 0,25об.% олії чайного дерева. Розмір помилки представлена стандартними відхиленнями (n = 2).
Антимікробну дію ефірних олій та їх монотерпеноїдних компонентів зазвичай пояснюють токсичною дією на мембранні структури та функції (Andrews та ін. 1980; Uribe та ін. 1985; Knobloch та ін. 1988). Sikkema та ін. (1994) показали, що циклічні монотерпени за рахунок властивих їм ліпофільних характеристик частково переходять з водної фази в мембранні структури. В результаті відбувається розширення мембран, збільшення проникності мембран та інгібування мембранних ферментів. У клітинах дріжджів та ізольованих мітохондріях, α- та β-пінени ушкоджують цілісність клітин, пригнічують дихання та гальмують процеси переносу іонів, а також підвищують проникність мембран (Andrews та ін. 1980; Uribe та ін. 1985). Нещодавно, Helander та ін. (1998) описали вплив різних ефірних компонентів на проникність зовнішньої мембрани грамнегативних бактерій. Той факт, що спричинене олією чайного дерева пошкодження клітинної структури мембран супроводжувалося зниженням життєздатності всіх трьох досліджуваних мікроорганізмів, змушує припустити описане Helander явище як найбільш ймовірну причину загибелі клітин.
Незважаючи на подібні значення МІК/МБК, досліджувані мікроорганізми продемонстрували явні відмінності сприйнятливості до масла чайного дерева. Темпи зниження життєздатності С. Albicans у 0,25об.% олії чайного дерева були меншими, ніж у кишкової палички при дії тієї ж концентрації; швидкість інактивації золотистого стафілокока була повільнішою, ніж у кишкової палички або C. Albicans. Відносне придушення дихання та ступінь ушкодження мембран цих мікроорганізмів демонстрували аналогічні тенденції. Враховуючи широкий спектр антимікробної активності олії чайного дерева і загальний мембрано-пошкоджуючий ефект, цілком ймовірно, що відмінності, що спостерігаються, відображають швидкість проникнення активних компонентів олії через клітинну стінку і в фосфоліпідні ділянки клітинних мембранних структур.
Підіб'ємо підсумок: наші спостереження підтвердили, що антимікробна активність олії чайного дерева пояснюється його здатністю порушувати проникність бар'єру мембранних структур мікроорганізмів. Цей механізм дії однаковий щодо клітин кишкової палички, золотистого стафілокока та C. Albicans, і схожий з іншими мембранно-активними дезінфікуючими засобами та консервантами широкого спектра дії, наприклад, похідними фенолу, хлоргексидину (див. McDonnell та Russell 1999) та парабензою Sox 1997).
ВДЯЧНІСТЬ
Ця робота повністю профінансована дослідницьким інститутом олії австралійського чайного дерева (ATTORI), Лісмор, Новий Південний Уельс, Австралія.
ПЕРЕЛІК ЛІТЕРАТУРИ
Andrews, R.E., Parks, L.W. та Spcnce, K.D. (1980) Деякі ефекти з Douglas перші tcrpenes on certain microorganisms. Applied and Environmental Microbiology 40, 301-30A
Beylier, M. (1979) Bacteriostatic activity of some Australian essential oils. Perfumer and Fhivimrtst 4, 23-25.
Booth, LR. (1985) Regulation of cytoplasmic pH in bacteria Microbiological Reviews 49, 359-378.
Brophy, JJ, Davies, NW, Southwell, LA., Stiff, LA. та Williams, L.R. (198 **) Gas chromatographic quality control for oil of Melaleuca tcrpincn-4-ul type (Australian tea tret) Journal of Agricultural ami Food Chemistry 37, 1330- 1335.
Brul, S., Nusshaum, J. and Dielbandhoesing, S.K. (1997) Fluorescent probes for wall porosity and membrane integrity in filamentous fungi. Journal of Microbiological Methods 28, 169 178.
Carson, C.F. та Riley, T.V. (1995) Antimicrobial activity of major components of essential oil of Melaleuca alternifolia. Journal of Applied Btict-eriahgy 78, 264-269.
Cox, S.D., Gusrufson, J.K., Mann, CM., Markham, J.I., Liew, Y.C., Ilarlland, R.P., Bell, H.C. та Wyllie, S.G. (1998) Tea tree oil causas K4 leakage and inhibits respiration в Escherichia coli. Letters in Applied Microbiology 26, 355-358.
George, AM. and Levy, S.B. (1983) Amplifiablc реагування на tetracycline, chloramphenicol, та інші антибіотики в Escherichia coli: беззаконня непластичного ідентифікованого efflux of tetracycline, Journal af Bacteriology 155, 531-540.
Gustafson, J.E., Liew, Y.C., Chew, S., Markham, J.L., Bell, H.C., Wyllie, S.G. and Warmington, J.R. (1998) Effects of tea iree oil on Escherichia colt. Letters in Applied Microbiology 26, 194-198.
Helander, I.M., Alakomi, H.-L., Kyosti, 1..-K., Mattila-Sandhulm, T., Pol, I., Smid, K.J., Gorris, G.M. and von VVrighi, A. (1998). Journal of Agricultural Food Chemistry 46, 3590-3595.
Knobloch, K., Pauli, A, Iberl, B., Wets, N. and Weigand, H. (1988) Antibacterial activity and antifungal properties of essential oil components. Journal of Essential Oils Research 1, 119-128.
Lebaron, P., Catala, P. and Parthuisot, N. (1998) Ефективність SYTOX Green stain for bacterial viability assessment. Applied and Environmental Microbiology 64, 2697-2700.
Markham, J. I.. (1999) Biological activity of tea tree oil. In Tea Tree, Genus Melaleuca, ed. Southwell, I. and Lowe, R., pp. 169-190. Amsterdam: Harwood Academic Publishers
Mason, DJ. Dybowski, R., Earriek, J.W. and Gant, V.A. (1997) Antimicrobial action of rabbit leukocyte CAI'181(1(, n7. Antimicrobial Agents and Chemotherapy 41, 624-629)
McDonnell, G. and Russell, A.D. (1999) Antiseptics and disinfectants: activity, action and resistance. Clinical Microbiology Reviews 12, 147-179.
Morris, J.A., Khettry, A. and Scitz, E.W. (1979) Antimicrobial activity of aroma chemicals and essential oils. Journal of the American Chemical Society 56, 595-603.
New, R.R.C. (1990) Characterization of liposomes. In Liposomes; A Practical Approach, cd. New, R.C.C., pp. 105-162. Oxford: IRI. Press.
Poolman, B., Driessen, A.J.M. and Konings, W.N. (1987) Regulation of solute transport in Streptococci за межами external і internal pH. Microbiological Reviews 51, 498-508.
Sikkema, J., de Bunt, J. A.M. and Poolman, B. (1994) Взаємодії cyclic hydrocarbons with biological membranes. Journal of Biological Chemistry 269, 8022 8028.
Sikkema, J., de Bunt, J.A.M. and Poolman, B. (1995) Механізми мембранної toxicity hydrocarbons. Microbiological Reviews 59, 201-222.
Southwell, I.A., Hayes, A.J., Markham, J.I., і Leach, D.N. (1993) Search for optimally bioactive Australian tea tree oil. Acta Horheulturac 334, 265-275.
Sox, T.E. (1997) Mechanisms ofacrion of cosmetic preservatives. In Cosmetic Microbiology: Practical Handbook-, ed. Brannan, D.K. pp. 163 176, Boca Raton, FL: CRC Press.
Trumpower, B.E. і Gennis, R.B. (1994) Енергія перетворення cytochrome complexes в мітокондріал і бактерійна респірація: ензимологія coupling electron transfer reactions до transmembrane proton translocation. Inmial Reviews in Biochemistry 63, 675-716.
Uribe, S., Ramirez, T. and Pena, A. (1985). Journal of Bacteriology 161, 1195-1200.
Wenisch, C, Linnau, K.F., Parschalk, B., Zedtwitz-Lebenstein, K. і Georgopotous, A. (1997). Journal of Clinical Microbiology 35, 5-10.
Вплив походження сировини на безпеку та ефективність олії чайного дерева (Melaleuca alternifolia)
C. F. Carson 1 таT.V. Riley 1,2
1 Отделение микробиологии медицинского центра им. королевы Елизаветы II университета Западной Австралии, Недландс, WA 6009, Астралия
2 Отделение микробиологии и инфекционных болезней Западно-австралийского центра патологии и медицинских исследований, Локед-Бэг 2009, Недландс, WA 6009, Австралия
Обговорюються ідентичність, джерела сировини та склад олії чайного дерева (Melaleuca alternifolia), а також зазначені помилки, що зустрічаються у ранніх літературних джерелах. Наведено огляд звітів про терапевтичні та алергічні ефекти.
Ключові слова : олія чайного дерева, Melaleuca alternifolia; олія мелалеуки, химический состав, контактная аллергия, антимикробные, медикаменты. © Munksgaard, 2001.
Прийнято до публікації 29 січня 2001
В останній публікації цього журналу (1) після повідомлення про невелику кількість звітів про контактний дерматит у зв'язку з евкаліптолом описано випадок контактного дерматиту, викликаного евкаліптолом, отриманого з Malaleuca alternifolia (2) . На підставі цього може скластися враження, що весь евкаліптол екстрагують з Melelauca alternifolia. Разом з тим, евкаліптол, відомий як 1,8-цинеол, є основним компонентом евкаліптової олії, одержуваної віджимом з різних видів евкаліпту, зокрема Eucalyptus globulus і E. polybractea, а M. alternifolia - це основна сировина для промислового виготовлення ефірної олії, званої олією чайного дерева. Хоча обидва роди Eucalyptus і Melaleuca належать до сімейства Myrtaceae , склад одержуваних з них олій кардинально відрізняється.
Описуюча 4 випадки алергії на олію чайного дерева стаття Van der Valk із співавторами (2) внесла ще більше плутанини щодо евкаліптолу та олії чайного дерева. Згадана в цій статті олія чайного дерева, отримана нібито з M. alternifolia , чомусь описується як евкаліптол, що містить. В обох цих статтях і ще один ранній звіт про один випадок алергії в якості основних компонентів масла чайного дерева вказані a-пінен, b-пінен, п-цимен, евкаліптол, ліналоол, терпінеол і b-каріофілен. Якщо в цих роботах досліджувалося олія такого складу, воно не олія нічого спільного з олією чайного дерева, що виділяється з M. Alternifolia, і не відповідає вимогам міжнародного стандарту щодо складу олії чайного дерева (4).
Ці невідповідності зумовлюють певну плутанину щодо ідентичності, джерел сировини та складу олії чайного дерева. Наведемо й інші помилки, що недавно з'явилися в літературі, зокрема, що олія чайного дерева повинна містити не менше 30% терпіння (5), що M. alternifolia виростає в Іспанії, Португалії, Каліфорнії та островах Океанії (3, 6), що «каепутова олія» - це синонім олії чайного дерева (7), про існування перехресної сенсибілізації або перехресної реакції на колофоній (6, 8, 9), а також, що основним алергеном є евкаліптол (2).
Разом з тим, починаючи з 1996 року склад олії чайного дерева регламентується міжнародним стандартом олії чайного дерева "Oil of Melaleuca - terpinen-4-oltype (tea tree oil)'' [олія мелалеуки , терпинен-4-ол типу (олія чайного дерева)] (4) В основу цього стандарту був покладений стандарт Австралії (10) і, зауважимо, ніде в цих стандартах не сказано, з яких видів рослин має вироблятися ця олія. Стандарт Австралії регламентував вміст у складі олії чайного дерева 1,8-цинеолу не більше 15% і терпинен-4-олу не менше 30%.Міжнародний стандарт, що замінив цей документ, є більш повним, і встановлює вимоги щодо граничного вмісту 14 з приблизно 100 компонентів ( таблиця 1).Міжнародний стандарт регламентує вміст терпинен-4-олу в олії більше 30% (4), хоча на практиці вміст цієї сполуки в олії рідко коли нижче 40%.
Таблиця 1. Вимоги до складу олії чайного дерева a)
|
Компонент |
Мінімум, % |
Максимум, % |
|
Терпинольний |
1.5 |
5 |
|
1,8-цинеол |
- |
15 |
|
A-терпинен |
5 |
13 |
|
G-терпинен |
10 |
28 |
|
П-цимен |
0.5 |
12 |
|
Терпінен-4-ол |
30 |
- |
|
A-терпінеол |
1.5 |
8 |
|
Лимонен |
0.5 |
4 |
|
Сабінен |
Слідові к-ва |
3.5 |
|
Аромадендрен |
Слідові к-ва |
7 |
|
D-кадінен |
Слідові к-ва |
8 |
|
Глобулол |
Слідові к-ва |
3 |
|
Вірідіфлорол |
Слідові к-ва |
1.5 |
|
A-пінен |
1 |
6 |
а) По материалам источника (4).
Олію чайного дерева виробляють головним чином з M. alternifolia , що вирощується на промислових плантаціях у штатах Новий Південний Уельс та Квінсленд в Австралії. На початок промислового вирощування природний ареал M. alternifolia обмежувався місцевістю навколо річок Кларенс та Річмонд на північно-східному узбережжі Нового Південного Уельсу. Відповідну міжнародному стандарту олію можна отримувати і з інших видів Melaleuca, зокрема з M. dissitiflora та M. linariifolia (12). Крім того, не виключено існування та інших видів, з яких можна отримувати відповідна стандарту олія.
У деяких випадках встановити ботанічне походження ефірної олії ускладнює поширення загальновживаних назв, які не дозволяють точно визначити походження рослинної сировини. Так, використовується ряд історичних назв олії чайного дерева, зокрема «олія мелалеуки» та «чайна олія». Широко застосовується в Маорі і Самоа назва «чайна олія» відноситься до олії з рослин роду Cordyline (13). Використання ж терміну «олія мелалеуки» взагалі вводить в оману, оскільки в деяких випадках мається на увазі олія абсолютно іншого хімічного складу, одержуваного з інших видів Melaleuca, наприклад, каепутове олія (також «каепут» або «каюпут») із рослин M. Cajuputi, або олія найолі з M. quinquenervia (14). На даний момент Австралійська адміністрація лікарських засобів як офіційна назва затвердила термін «олія мелалеуки».
Ще більше це ускладнює використання загальновживаних назв рослин. В Австралії «чайне дерево», також відоме як «паперовокоре дерево», є узагальнюючою назвою декількох сотень видів рослин роду Melaleuca і Leptospermum. Наприклад, M. cajuputi часто називають «болотне чайне дерево» та «чайне дерево з паперовою корою», а M. quinquenervia – «широколистяне чайне дерево» або «широколисте паперово-коре дерево» (14). Окультурено безліч видів Leptospermum, і багато з них часто помилково вважаються сировиною отримання олії чайного дерева. Також слід зазначити, що т.зв. новозеландська олія чайного дерева, одержувана з рослин, що виростають у Новій Зеландії, Kunzea ericoides і Leptospermum scoparium (названа ще ефірною олією, відповідно кануки або мануки), не має нічого спільного з власне олією чайного дерева, оскільки має зовсім інший склад (15).
У літературі опубліковано низку звітів про позитивні шкірні алергічні проби на олію чайного дерева (2, 3, 6-8, 16, 17). Однак повідомлений у двох звітах склад досліджуваної олії (2, 3) не відповідав вимогам міжнародного стандарту або австралійського стандарту, що діяв раніше. В іншому звіті (7) важко ідентифікувати досліджувану олію, оскільки часто як синонім використовувався термін «каепут», а дані про склад не наведені. Також під великим питанням припущення про перехресну сенсибілізацію олії чайного дерева та колофонію. Так, у вихідному звіті опису випадку (6) взагалі не було вказівок на перехресну реакцію або перехресну сенсибілізацію олії чайного дерева та колофонію. Там тільки зазначалося збіг позитивних шкірних алергічних проб на обидві речовини. Але причинний зв'язок між цими двома речовинами не доведений (17).
Робилися певні спроби з виявлення компонентів олії чайного дерева, які могли б відповідати за алергічні реакції. Серед таких компонентів називалися 1,8-цинеол, (3), D- лимонен, a-терпинен, аромадендрен, терпинен-4-ол, a-фелландрен, п-цимен, a-пінен, терпинолен (18) і a-терпинен (19). У інших роботах (20, 21) як найімовірніших алергенів називалися продукти окислення. Оскільки окислена олія чайного дерева є сильнішим алергеном, ніж свіжа олія, частоту небажаних реакцій можна звести до мінімуму, не допускаючи застосування старої окисленої олії. Також проводилася робота щодо визначення ступеня цих ефектів, прийнятних параметрів стабільності, відповідної технології виробництва готової продукції та процедур зберігання.
Дані in vitro досліджень показують, що олія чайного дерева (M. alternifolia) є потенційно корисним місцевим антимікробним засобом (22-24), і останні клінічні випробування показали перспективні результати (25, 26). Водночас необхідні додаткові дані про in vivo ефективність та безпеку олії чайного дерева. Однак для об'єктивної оцінки біологічних властивостей олії чайного дерева, включаючи і його алергенності, в літературі повинна повідомлятися точна інформація як про олію, так і про її властивості.
Перелік літератури
1. Vilaplana J, Romaguera C. Allergic contact dermatitis до eucalyptol in anti-inflammatory cream. Contact Dermatitis 2000: 43: 118.
2. Vander Valk PGM, De GrootAC, Bruynzeel DP, Coenraads PJ, Weijland JW. Ned Tijdschr Geneeskd 1994: 138: 823-825.
3. De Groot A C, Weyland J W. Systemic contact dermatitis from tea tree oil. Contact Dermatitis 1992: 27: 279-280.
4. International Organisation for Standardisation. Essential oils - oil of Melaleuca, терпинен-4-ол type (tea tree oil). ISO-4730. Geneva: International Organization for Standardisation, 1996.
5. Treudler R, Richter G, Geier J, Schnuch A, Orfanos C E, Tebbe B. Збільшення в sensitization до олії терпентину: останній день від медичного центру на 45,005 пацієнтів від Німеччини-Austrian Information Network of Departments of Dermatology (IVDK) . Contact Dermatitis 2000: 42: 68-73.
6. Selvaag E, Eriksen B, Thune P. Contact allergy до яблука та cross-sensitisation to colophony. Contact Dermatitis 1994: 31: 124-125.
7. Selvaag E, Holm J-O, Thune P. Allergic contact dermatitis in aromatherapist with multiple sensitizations to essential oils. Contact Dermatitis 1995: 33: 354-355.
8. Bhushan M, Beck M H. Allergic contact dermatitis from tea tree oil in a wart paint. Contact Dermatitis 1997: 36: 117-118.
9. Guin J D, Kincannon J. Medication-індустрій contact reactions. Clin Dermatol 1997: 15: 511-525.
10. Standards Association of Australia. Australian standard for essential oils - oil of Melaleuca, терпинен-4-ол типу (AS 2782-1985). Sydney: Standards Association of Australia, 1985.
11. Brophy J J, Davies N W, Southwell I A, Stiff I A, Williams L R. Gas chromatographic quality control для олії Mela-leuca терпін-4-ол типу (Australian tea tree). J Agric Food Chem 1989: 37: 1330,1335.
12. Southwell I A. Tea tree constituents. In: Southwell I, Lowe R (eds): Tea tree: the genus Melaleuca. Singapore: Har-wood Academic Publishers, 1999: 29-62.
13. Weiss E A. Essential oil crops. Oxford: CAB International, 1997: 302-319.
14. Lassak E V, McCarthy TM. Australian Medicinal Plants. Sydney, New South Wales: Methuen Australia, 1983.
15. Perry N B, Brennan N J, Van Klink J W, Harris W, Douglas M H, McGimpsey J A, Smallfield B M, Андерсен РЕ. Phytochemistry 1997: 44: 1485-1494.
16. Apted J H. Contact dermatitis поєднана з використанням tea tree oil. (Letter) Australas J Dermatol 1991: 32: 177.
17. De Groot A C. Airborne allergic contact dermatitis from tea tree oil. Contact Dermatitis 1996: 35: 304-305.
18. Knight TE, Hausen B M. Melaleuca oil (tea tree oil) dermatitis. J Am Acad Dermatol 1994: 30: 423-427.
19. Southwell I A, Freeman S, Rubel D. Skin irritancy of tea tree oil. Journal of Essential Oil Research 1997: 9: 47-52.
20. Hausen B M, Reichling J, Harkenthal M. Відхилення виробів monoterpenes є sensitizing agents in tea tree oil. Am J Contact Dermatitis 1999: 10: 68-77.
21. Harkenthal M, Hausen B M, Reichling J. 1,2,4-триhydroxy-menthane, contact allergen з oxidized Australian tea tree oil. Pharmazie 2000: 55: 153-154.
22. Carson C F, Cookson B D, Farrelly H D, Riley T V Susceptibility methycillin-resistant Staphylococcus aureus до essential oil Melaleuca alternifolia. J Antimicrob Chem-other 1995: 35: 421-424.
23. Hammer K A, Carson C F, Riley T V. Susceptibility transient і commensal skin flora до essential oil Melaleuca alternifolia (tea tree oil). Am J Infect Control 1996: 24: 186-189.
24. Harkenthal M, Reichling J, Geiss H K, Saller R. Компативна практика на вітрі антибактеріальної діяльності Australian tea tree oil, cajuput oil, niaouli oil, manuka oil, kanuka oil, і eucalyptus oil. Pharmazie 1999: 54: 460,463.
25. Jandourek A, Vaishampayan J K, Vazquez J A. Ефективність melaleuca oral solution for treatment of fluconazole refractory oral candidiasis in AIDS patients. AIDS 1998: 12: 1033-1037.
26. Caelli M, Porteous J, Carson CF, Heller R, Riley T V Трійний олійний яєк як альтернативний топічний decolonization agent for methicillin-resistant Staphylococcus aureus. J Hosp Infect 2000: 46: 236-237.
Вплив органіки, катіонів та поверхнево-активних речовин На антимікробну активність олії Melaleuca alternifolia (чайне дерево) ін vitro
K.A. Hammer 1, C.F. Carson 1 і T.V. Riley 1,2
1 Отделение микробиологии, университет Западной Австралии
2 Отделение микробиологии и инфекционных болезней медицинского центра патологии и медицинских исследований Западной Австралии им. королевы Елизаветы II, Недлендс, Западная Австралия
K.a. hammer, c.f. carson and t.v. riley. 1999. Досліджувався вплив певних органічних речовин та умов на антимікробну активність олії Melelauca alternifolia (чайне дерево). Розведенням у бульйоні та в агарі визначалася мінімальна інгібуюча та цидальна концентрація олії чайного дерева окремо та в присутності сторонніх органічних речовин. Активність досліджувалась щодо грампозитивних та грамнегативних бактерій, а також до Candida albicans. Оцінено мінімальну інгібіторну та мінімальну цидальну концентрацію, що відрізняється від контролів на два і більше розведення, по відношенню до одного або кількох тестових мікроорганізмів у присутності таких сторонніх речовин, як Твін-20, Твін-80, порошок знятого молока та бичачий сироватковий альбумін. Дослідження не виявило відмінностей при виконанні аналізів в анаеробних умовах, або у присутності іонів кальцію та магнію. Вплив органіки на антимікробну активність олії чайного дерева досліджувався тестом нейтралізації органічного ґрунту. Досліджувані мікроорганізми піддавалися впливу летальних концентрацій олії чайного дерева (починаючи від 1,10 об.%) у присутності сухих дріжджів пекарських 1,30% (мас./об.). Після десятихвилинного контакту визначалася життєздатність мікроорганізмів. При рівнях ≥ 1% органіка послаблювала активність усіх досліджуваних концентрацій олії чайного дерева стосовно Staphylococcus aureus та C. albicans. Що стосується Pseudomonas aeruginosa, то активність олії чайного дерева послаблювалася при вмісті органіки понад 10%. В експериментах з Escherichia coli органіка послаблювала активність концентрацій олії чайного дерева 1 і 2% і не впливала на активність при концентраціях 4 і 8%. Зроблено висновок про те, що органічні та поверхнево-активні речовини послаблюють антимікробну активність олії чайного дерева, хоча ця дія для різних мікроорганізмів проявляється різною мірою.
ПЕРЕДМОВА
Ефірна олія, яку отримали з рослини, що росте в дикій природі Австралії, Melaleuca alternifolia , називають олією чайного дерева. Ця олія містить понад 100 компонентів, з яких більша частина це монотерпени, сесквітерпени та їх спирти (Brophyс співавторами, 1989). Міжнародний стандарт 4730 по маслу мелалеуки терпінен-4-ол типу (олія чайного дерева) наводить хроматографічні профілі, які встановлюють максимальний та мінімальний процентний вміст 14 компонентів олії (Міжнародна організація стандартизації, 1996 р.). Це дозволяє виконувати оцінку якості олії чайного дерева, що промислово випускається.
Олія чайного дерева застосовується місцево на лікування різних шкірних порушень, зокрема, вугрів, опоясывающего лишаю, реакцій на укуси комах і опіки (Altman1989), т.к. олія має антимікробні властивості та відомі протизапальні, проникаючі та знеболювальні ефекти (Carsonі Riley1993). Першими для медичних цілей рослина M . alternifolia почали застосовувати аборигени племені Бунджалунг у північній частині Нового Південного Уельсу, де ця рослина росте в дикій природі (Carsonі Riley1993). Олія зі змінним успіхом спочатку набула поширення в Австралії і сьогодні входить до складу численних косметичних і фармацевтичних продуктів, що випускаються в усьому світі (Carsonі Riley1993; Knightі Hausen1994).
Останні дослідження олії чайного дерева були сфокусовані на вивченні його бактерицидних (Hammerс співавторами, 1996), протигрибкових (Nenoff зі співавторами, 1996) і, меншою мірою, противірусних властивостей цієї олії (Bishop1995). Набагато менше відомо про механізм дії олії на мікроорганізми (Gustafson з співавторами, 1998), про потенційні ефекти інших речовин та про умови, здатні впливати на антимікробну активність олії. Незважаючи на відсутність доказів, набула широкого поширення думки, що антимікробні властивості олії чайного дерева зберігаються або навіть посилюються в присутності крові або гною, яке вперше було висловлено Humphery1930, Penfoldі Morrison1937. З цієї причини було вирішено оцінити різні фактори, здатні впливати на ефекти олії, а також антимікробну активність олії чайного дерева до різних мікроорганізмів.
МАТЕРІАЛИ ТА МЕТОДИ
Олія чайного дерева
Олію чайного дерева (МЧД) для досліджень було люб'язно надано компанією AustralianPlantationsPtyLtd, Віраллах/Wyrallah, штат Новий Південний Уельс (НЮУ), Австралія. Партії 93/04 та 971 відповідали вимогам стандарту ISO4730. Зміст певних компонентів визначався газовою хроматографією та мас-спектрофотометрією у сільськогосподарському інституті WollongbarAgriculturalInstitute, Воллонгбар/Wollongbar, шт. НЮУ, Австралія. За результатами дослідження партія 93/04 містила 37,1% терпінен-4-олу та 3,2% 1,8-цинеолу. Партія 971 містила 41,5% терпинеолу, 21,2% g-терпінена, 10,2% a-терпінена, 3,5% терпинолену, 2,9% a-терпінеолу, 2,5% a-пінена , 2,1% 1,8-цинеолу та 1,5% п-цимену.
Тестові мікроорганізми та приготування інокуляту
Мікроорганізми для досліджень були отримані з колекцій культур відділення мікробіології університету Західної Австралії та відділення мікробіології та інфекційних хвороб Західно-австралійського центру патології та медичних досліджень. Використовувалися такі ізоляти: Acinetobacter baumanii NCTC7844 , Aeromonas veronii biogroup sobria ATCC9071 ( Aer . sobria ), Candida albicans ATCC10231 , Enterococcus faecalis NCTC8213 , Escherichia coli NCTC10418 , Klebsiella pneumoniae NCTC11228 , Pseudomonas aeruginosa NCTC10662 , Salmonella enterica subsp em>. enterica serotype typhimurium NCTC74 ( Salm . typhimurium ), Ser - ratia marcescens em> NCTC1377 and Staphylococcus aureus NCTC6571. Усі ізоляти підтримувалися на кров'яному агарі. Нічні культури готувалися інокуляцією 2-3 колоній на 2-3 мл бульйону Мюллера-Хінтона (БМХ) з подальшою інкубацією протягом ночі при 35 °C періодичним струшуванням. Для аналізу розведень в агарі виконувалося розведення нічних культур у фізрозчині приблизно до 10 6 або 10 7 колонієутворюючих одиниць (КОЕ) на мл -1 для відповідно C. albicansі бактерій, що відповідало приблизно 10 3 або 10 4 КУО/мл інокуляційної плями. Для аналізу розведень у бульйоні виконувалося розведення культур до кінцевої концентрації інокуляту приблизно 5 x10 5 КУО/мл з підтвердженням підрахунком кількості життєздатних мікроорганізмів.
Визначення МІК та МЦК
Аналізи розведень в агарі виконували додаванням МЧД (партія 93/04) у подвійних розведеннях з 2% до 0,03% (об./об.) на агарі Мюллера-Хінтона (АМХ) без або в присутності досліджуваної речовини. Для поліпшення розчинності олії всі розведення містили поліоксіетилен (20) сорбітан монолаурат (Твін-20) у кінцевій концентрації 0,5% (об./про.). Як контроль використовувався кров'яний агар або агар з 0,5% Твін-20, що містить залежно від основного випробування або не містить відповідне досліджуване речовина. Чашки сушилися 30 хвилин і потім за допомогою багатоточкового реплікатора (MastLaboratoriesLtd, Ліверпуль, Великобританія) виконувалася інокуляція чотирьох інокуляційних плям кожної ізоляти. Чашки інкубувалися при 35 °C, після чого визначалася мінімальна інгібуюча концентрація (МІК) для бактерій через 24 години і для C. Albicans через 48 годин. У цьому дослідженні застосовувалося таке визначення МІК: найменша концентрація олії чайного дерева, що попереджає видиме зростання однієї чи двох колоній. Аналізи розведень у агарі у присутності сторонніх речовин виконувались по одному разу.
Аналізи мікророзведень у бульйоні виконували додаванням МЧД (партія 93/04) до БМХ серією подвійних розведень з 5% до 0,03% у присутності кожної досліджуваної сторонньої речовини і без них. Для поліпшення розчинності масла всі розведення містили Твін-20 кінцевої концентрації 0,001% (об./про.). Застосовувалися два контролю зростання. Один – це БМХ з 0,001% Твін-80 та другий – БМХ з 0,001% Твін-80, плюс відповідна стороння досліджувана речовина. Мікротитраційні планшети інокулювалися мікроорганізмами та інкубувалися при температурі 35 °C. Після 24 годин у разі дослідження бактерій або після 48 годин для C. albicans з кожної лунки планшета бралося по 10 мл субкультур і виконувалася плямова інокуляція на АМХ. Після інкубації субкультур визначалися МІК та МЦК. У цьому дослідженні МІК визначалася як найменша концентрація олії чайного дерева, що викликає збереження або зменшення інокуляту, а МЦК – найменша концентрація олії, при якій настає загибель 99,9% інокуляту. Аналізи розведень у бульйоні виконували двічі. У разі відмінності результатів, тести повторювалися і брали найбільш ймовірні значення.
Ефект анаеробних умов
Анаеробні умови створювалися в анаеробній камері (DonWhitleyScientificLtd, Шиплі, Великобританія) з атмосферою 10% H 2 , 10% CO 2 та 80% N 2 . При аналізі розведень в агарі (партія 93/04) виконувалася інкубація в аеробних умовах 48 годин і потім визначалися значення МІК. Ці досліди виконували по три рази, і бралося найімовірніше значення. При аналізах розведень у бульйоні (партія 971) мікротитраційні планшети поміщалися в анаеробну камеру щонайменше 2 години, і потім виконувалася инокуляция. Відразу після інокуляції планшети поверталися в анаеробну камеру і субкультури вирощувалися протягом 24 годин у разі бактерій або 48 годин для C. albicans.
Вплив катіонів
Готувався бульйон Мюллера-Хінтона в твердій воді, що містить 0,304 г/л CaCl 2 і 0,065 г/л MgCl 2 (Graham1978). Крім того, в БМХ готувалися розчини, що містять 50 ммоль/л Ca 2 та (або) Mg 2 .
Вплив органічних речовин
Досліджувалися такі органічні речовини (в одній або декількох концентраціях): овеча кров (об./об.), кінська сироватка (об./об.), бичачий сироватковий альбумін (БСА) (мас./об.), сухі пекарські дріжджі ( мас./об.) та порошкове зняте молоко (мас./об.) (UnipathLtd, Басингсток, Великобританія). Бичачий сироватковий альбумін розчиняли в дистильованій воді і після стерилізації фільтруванням додавали в стерильне середовище. Пекарські дріжджі та порошкове зняте молоко розчиняли в БМХ або АМХ і потім стерилізували в автоклаві.
Вплив поверхнево-активних речовин
Після стерилізації середовища в автоклаві в асептичних умовах (розрахунок про/об.) додавалися такі сторонні речовини: Твін-20, Твін-80 і алкілдиметилетаїн (АДБ) (EmpigenBB) (Albrightі Wilson, WetherillPark, НЮУ, Австралія). У БМХ розчиняли монододецилсульфат натрію (МСН) (мас./об.) і потім виконували автоклавування.
Метод Уайтмора-Мінера
Попередньо проводилися експерименти щодо визначення кількості олії чайного дерева, що повністю вбиває весь інокулят згідно з параметрами методики Уайтмора і Мінера (Whitmoreі Miner, 1976). Мікроорганізми інокулювалися в розчини олії чайного дерева (партія 971) наступних концентрацій (% об./про.): 0,25, 0,5, 1, 2, 4, 6, 8 та 10. Інкубація, субкультивування та реєстрація росту виконувались згідно з наведеному нижче опису. Ця процедура повторювалася в інші дні до тих пір, поки для кожного мікроорганізму не підбиралася найбільш ймовірна мінімальна летальна концентрація (МЛК). Після цього виконувались тести нейтралізації органічного ґрунту при значеннях концентрації МЧД більше або дорівнює МЛК відповідного мікроорганізму.
Сухі пекарські дріжджі подрібнювалися до однорідної консистенції за описом Уайтмора і Мінера (1976) і в скляних судинах Маккартні зважувалися такі кількості дріжджів: 3, 2, 1, 0,5 і 0,1 г. Після автоклавування комки, що утворилися, розмішувалися. У стерильній дистильованій воді готувалися розчини МЧД із кінцевою концентрацією Твін-80 0,001%. Через точно відмірені інтервали часу 10 мл розчину МЧД додавали до кожної порції сухих дріжджів, суміш перемішували вихровою мішалкою і 2 години інкубували при 25 °C водяній бані. Кожна серія включала контрольний розчин МЧД без дріжджів. Через 2 години по 100 мкл суспензії з приблизно 10 8 КУО/мл Staph . aureus , E . coli або Ps . aeruginosa , або 10 7 ДЕЯ/мл при дослідженні C . albicans із заданою періодичністю інокулювалися на серії суміші дріжджі/МЧД. Вміст всіх пробірок безпосередньо до і після інокуляції перемішували вихровою мішалкою. Пробірки поверталися у водяну баню, і через 10 хвилин бралося по 1 мл суміші дріжджі/МЧД/мікроорганізм і додавали в 9 мл поживного бульйону №2 (ПБ №2). З цієї початкової субсультури в ПБ №2 готувалося два додаткові розведення одного з 10 послідовних розведень. Пробірки із субкультурами інкубувалися 48 годин при 35°C. Після цього відзначалася каламутність бульйону і поживний агар (ПА) виконувалася плямова інокуляція 25 мкл аліквотних проб з кожної пробірки. Після інкубації чашок ПА відзначалося наявність або відсутність зростання. Зростання будь-якої субкультури фіксувалося як загальний позитивний результат. Тести з кожним досліджуваним мікроорганізмом виконували щонайменше двічі на різні дні. Бралося найбільш ймовірне значення позитивного чи негативного зростання кожної суміші дріжджі/МЧД/мікроорганізм. Число нейтралізації розраховувалося множенням на 10 максимальної кількості дріжджів, які не показали зростання у всіх пробірках із субкультурами.
РЕЗУЛЬТАТИ
Вплив анаеробних умов
Як видно з таблиці 1, значення МІК та МЦК отримані в аеробних та анаеробних умовах відрізнялися не більше, ніж на одне розведення.
Аналізи розведень у бульйоні та в агарі
Результати аналізів розведень у бульйоні та в агарі у присутності сторонніх досліджуваних речовин показані в таблиці 2. Аналізи з додаванням Твін-80 для A . baumanii , Aer . sobria , Ent . faecalis , E . coli та Staph . Aureus показали МІК на два послідовні розведення більше контролю. Інші значення МІК були рівними або відрізнялися на одне розведення. Результати аналізів мікророзведень у бульйоні в присутності сторонніх речовин показані в таблиці 3. Значення МІК та МЦК у присутності катіонів були рівними або відрізнялися на одне розведення. Для Staph . aureus МЦК у присутності БСА та знятого молока було більше на два розведення. C . albicans МІК у присутності БСА були більшими на два розведення. C . albicans МІК та МЦК у присутності 10% Твін-20 були більшими також на два розведення. Усі значення МІК та МЦК у присутності 5% та 10% Твін-80 були більшими на два розведення, за винятком МІК та МЦК для E . coli та МЦК для C . albicans у присутності 5% Твін-80. Поверхнево-активні речовини МСН та АДБ перешкоджали зростанню певних тестових мікроорганізмів.
Метод Уайтмора-Мінера
Результати експериментів з Уайтмор-Мінер показані в таблиці 4. Були отримані наступні значення МЛК: для E . coli 0,5%, Staph . aureus 4,0% , Ps . aeruginosa 1,0% і для C . albicans 2,0%. Присутність дріжджів послаблювала летальні ефекти двох і більше концентрацій МЧД щодо тестових мікроорганізмів. Так, летальні для Staph . aureus та C . albicans концентрації МНС у присутності 0,1 г дріжджів не вбивали ці мікроорганізми.
Таблиця 1. Значення МІК та МЦК (% об./про.) олії чайного дерева для різних мікроорганізмів в аеробних та анаеробних умовах за результатами аналізів розведень в агарі та бульйоні.
|
Мікроорганізм |
Розведення в агарі |
Розведення у бульйоні |
||||
|
Аеробні умови |
Анаеробні умови |
Аеробні умови |
Анаеробні умови |
Аеробні умови |
Анаеробні умови |
|
|
МІК |
МІК |
МІК |
МЦК |
МІК |
МЦК |
|
|
Aeromonas sobria |
0,25 |
0,25 |
0,25 |
0,25 |
0,12 |
0,25 |
|
Candida albicans |
0,5 |
0,25 |
0,25 |
0,5 |
0,25 |
0,5 |
|
Enterococcus faecalis |
1,0 |
1,0 |
4,0 |
>4,0 |
2,0 |
>4,0 |
|
Escherichia coli |
0,25 |
0,25 |
0,12 |
0,12 |
0,25 |
0,25 |
|
Klebsiella pneumoniae |
0,5 |
0,5 |
0,25 |
0,25 |
0,5 |
0,5 |
|
Salmonella typhimurium |
0,5 |
0,5 |
0,25 |
0,25 |
0,5 |
0,5 |
|
Serratia marcescens |
0,5 |
0,5 |
0,25 |
0,25 |
0,5 |
0,5 |
|
Staphylococcus aureus |
0,5 |
0,5 |
0,5 |
0,5 |
0,5 |
1,0 |
Таблиця 2. Значення МІК (% об./про.) олії чайного дерева, отримані методом розведень в агарі окремо та в присутності 5% сторонніх речовин з потенційним впливом на МЧД.
|
Мікроорганізм |
Окремо МЧД |
Твін-20 |
Твін-80 |
Овеча кров |
БСА |
Пекарські дріжджі |
|
Acinetobacter baumannii |
0,25 |
0,5 |
1,0 |
Н.о.* |
0,5 |
0,5 |
|
Aeromonas sobria |
0,25 |
0,5 |
1,0 |
Н. |
0,5 |
0,5 |
|
Caн.о.ida albicans |
0,5 |
1,0 |
0,5 |
0,5 |
0,5 |
0,5 |
|
Enterococcus faecalis |
1,0 |
0,5 |
>2,0 |
2,0 |
1,0 |
2,0 |
|
Escherichia coli |
0,25 |
1,0 |
1,0 |
0,25 |
0,5 |
0,5 |
|
Klebsiella pneumoniae |
0,5 |
1,0 |
1,0 |
0,5 |
0,5 |
1,0 |
|
Pseudomonas aeruginosa |
>2,0 |
>2,0 |
>2,0 |
Н. |
>2,0 |
>2,0 |
|
Salmonella typhimurium |
0,5 |
1,0 |
1,0 |
0,5 |
0,5 |
0,5 |
|
Serratia marcescens |
0,5 |
1,0 |
1,0 |
0,5 |
0,5 |
1,0 |
|
Staphylococcus aureus |
0,5 |
0,5 |
2,0 |
0,5 |
0,5 |
1,0 |
* Н.о. - НЕ визначено.
При концентрації МЧД менше 4% дріжджі послаблювали летальні ефекти МЧД на E . coli , проте при концентрації більше 4% наявність дріжджів не чинила послаблюючої дії на летальність МНС. Щодо Ps . aeruginosa , концентрації МЧД 2% і 4% у присутності ≥ 0,1 г дріжджів не забезпечували загибелі інокуляту. Тести з C . albicans при концентраціях МНС 8% і 10% показали невідтворювані результати, тому вибрати найбільш ймовірне значення не вдалося. Спостерігалося зростання Staphylococcus aureus у пробірках із субкультурою в присутності кількостей МНС більше МІК (0,25%) і MBC(0,5%), але лише в тих тестах, кількість дріжджів становила 1, 2 або 3 г (дані не показані). У всіх субкультурах, що містять МЧД у кількостях вище відповідних значень МІК або МЦК зростання Escherichia coli та C . albicans не спостерігалося. Всі мікроорганізми в одному або кількох дослідах показали зростання при послідовному розведенні 10 -3 , а при розведеннях 10 -1 і 10 -2 зростання не було. Додавання послідовного розведення 10 -4 не покращило відновлення мікроорганізмів, т.к. якщо зростання відбувалося при розведенні 10 -3, то він був неминучим і при розведенні 10 -4.
ОБГОВОРЕННЯ
У представленому знімання читача дослідженні вивчався вплив різних сторонніх речовин та умов на антимікробну активність олії чайного дерева. Експерименти показали, що присутність катіонів або анаеробні умови не впливають негативно, але присутність поверхнево активних речовин і органічного матеріалу погіршує ефективність МЧД.
Вплив катіонів на активність антимікробних сполук може пояснюватися утворенням хелатів між іонами та антимікробною речовиною, а також захистом зовнішніх мембран бактерій від втрати катіонів під впливом антимікробного агента (Marshallі Piddock1994). Передбачалося, що анаеробні умови можуть посилити антимікробну активність МЧД за рахунок хімічної перебудови компонентів масла в більш активні антимікробні сполуки, або ж за рахунок зміни мікробного метаболізму, що стосується поглинання та (або) активацію МЧД (Park зі співавторами 1992). Однак виявлена в даному дослідженні відсутність впливу цих умов на антимікробну активність змушує припустити, що відрізняється від зазначених механізмів дія МЧД.
Відома здатність поверхнево-активних речовин послаблювати активність багатьох антимікробних речовин, і вони давно застосовуються як стандартні нейтралізатори фенолів, крезолів і четвертинних амонієвих сполук (Bloomfield1991; Russell з співавторами, 1992). ПАР також послаблюють активність ефірних олій (Remmal з співавторами 1993), включаючи і олію чайного дерева (Carsonі Riley1996). Передбачається, що ПАР впливають на антимікробну активність розчиняючих молекул антимікробної речовини укладаючи їх усередині міцел ПАР, внаслідок чого обмежуються можливості антимікробної речовини впливати на мікроорганізми (Allwood і Shaw1987; Russell з співавторами, 1992). Також було продемонстровано, що у досить високих концентраціях деякі ПАР самі здатні надавати летальну дію на мікроорганізми (Russellі Chopra1990).
Таблиця 3. Значення МІК та МЦК (% об./про.) олії чайного дерева, отримані методом мікророзведень у бульйоні окремо та в присутності сторонніх речовин з потенційним впливом на МЧД.
|
Тест |
Концентрація |
Staphylococcus aureus |
Escherichia coli |
Candida albicans |
|||
|
МІК |
МЦК |
МІК |
МЦК |
МІК |
МЦК |
||
|
Окремо МЧД |
0,25 |
0,5 |
0,25 |
0,25 |
0,25 |
0,5 |
|
|
Жорстка вода |
0,25 |
0,5 |
0,25 |
0,25 |
0,25 |
0,5 |
|
|
Mg 2 |
50 ммоль/л |
0,25 |
0,5 |
0,12 |
0,12 |
0,12 |
0,25 |
|
Ca 2 |
50 ммоль/л |
0,25 |
1,0 |
0,25 |
0,25 |
0,25 |
0,5 |
|
Mg 2 та Ca2 |
50 ммоль/л |
0,25 |
0,5 |
0,25 |
0,25 |
0,12 |
0,25 |
|
БСА |
10% |
0,5 |
2,0 |
0,5 |
0,5 |
1,0 |
1,0 |
|
Зняте молоко |
10% |
0,5 |
2,0 |
0,25 |
0,5 |
0,25 |
0,5 |
|
Пекарські дріжджі |
5% |
0,25 |
0,25 |
0,5 |
0,5 |
0,25 |
1,0 |
|
Кінська сироватка |
5% |
0,12 |
0,25 |
0,12 |
0,12 |
0,12 |
0,25 |
|
10% |
0,12 |
0,25 |
0,12 |
0,12 |
0,25 |
0,5 |
|
|
Твін-20 |
5% |
Н. |
Н. |
0,5 |
0,5 |
0,5 |
1,0 |
|
10% |
Н. |
Н. |
Н. |
Н. |
1,0 |
2,0 |
|
|
Твін-80 |
5% |
2,0 |
2,0 |
0,5 |
0,5 |
1,0 |
1,0 |
|
10% |
2,0 |
>4,0 |
2,0 |
2,0 |
2,0 |
4,0 |
|
|
МСП |
1% |
О.Р. |
О.Р. |
0,25 |
0,25 |
О.Р. |
О.Р. |
|
5% |
О.Р. |
О.Р. |
0,25 |
0,25 |
О.Р. |
О.Р. |
|
|
10% |
О.Р. |
О.Р. |
0,25 |
0,25 |
О.Р. |
О.Р. |
|
|
АДБ |
1% |
О.Р. |
О.Р. |
0,25 |
0,25 |
О.Р. |
О.Р. |
О.Р. - Відсутність зростання.
Н. - НЕ визначено.
Результати аналізів мікророзведень у бульйоні та експериментів з Уайтмор-Мінер показали, що органіка послаблює антимікробну активність МЧД. Одним із пояснень цього явища може бути взаємодія між органічною речовиною та активними ділянками антимікробної речовини, що супроводжується зниженням концентрації активної антимікробної речовини (Gormanі Scott1980). Якщо має місце саме така взаємодія, то мало відбуватися однакове ослаблення активності по відношенню до всіх досліджуваних мікроорганізмів. Однак аналіз розведень у бульйоні показав, що жодна досліджувана органічна речовина окремо не послаблювала активності МЧД до трьох тестових мікроорганізмів. Це змушує припустити, що й має місце саме цей механізм ослаблення антимікробної активності, він проявляється узгоджено з іншими специфічними для мікроорганізмів чинниками. На такі специфічні для мікроорганізмів фактори також вказують відмінності результатів різних мікроорганізмів, що спостерігаються в експериментах з Уайтмор-Мінер. Специфічність по відношенню до мікроорганізмів можна пояснити гідростатичним зчепленням органічної речовини з мікробною клітиною, яке захищає клітину від впливу антимікробного агента (Gormanі Scott1980; Gorbach з співавторами, 1992; Russell з співавторами, 1992). Крім того, можливо, згадана вище взаємодія між органічним та антимікробним речовинами призводить до утворення форм, які гірше поглинаються деякими мікроорганізмами (Bean1967).
Таблиця 4. Зростання мікроорганізмів у субкультурах після експозиції олії чайного дерева (% об./об.) у присутності різних кількостей дріжджів.
|
Мікроорганізми |
Олія чайного дерева (%) |
Вміст дріжджів (г) у 10 мл розчину олії чайного дерева. |
Число нейтралізації |
|||||
|
0 |
0,1 |
0,5 |
1,0 |
2,0 |
3,0 |
|||
|
Candida albicans |
2,0 |
|
|
|
|
|
||
|
4,0 |
- |
|
|
|
|
|
- |
|
|
6,0 |
- |
|
|
|
|
|
- |
|
|
Escherichia coli |
1,0 |
- |
- |
|
|
|
|
1 |
|
2,0 |
- |
- |
- |
- |
|
|
10 |
|
|
4,0 |
- |
- |
- |
- |
- |
- |
>30 |
|
|
8,0 |
- |
- |
- |
- |
- |
- |
>30 |
|
|
Pseudomonas aeruginosa |
2,0 |
- |
|
|
|
|
|
- |
|
4,0 |
- |
|
|
|
|
|
- |
|
|
6,0 |
- |
- |
|
|
|
|
1 |
|
|
8,0 |
- |
- |
- |
|
|
|
5 |
|
|
10,0 |
- |
- |
|
|
|
|
1 |
|
|
Staphylococcus aureus |
4,0 |
- |
|
|
|
|
|
- |
|
6,0 |
- |
|
|
|
|
|
- |
|
|
8,0 |
- |
|
|
|
|
|
- |
|
|
10,0 |
- |
|
|
|
|
|
- |
|
- відсутність зростання у всіх розведеннях субкультур;
: Зростання в одній або декількохрозведеннях субкультур.
Це дослідження показало, що лише органіка певних типів впливає антимікробну активність МЧД. Раніше подібний ефект вже спостерігався, і передбачалося, що ці відмінності можуть бути обумовлені відмінностями відносної розчинності та вмісту білка в органіці різних типів (Gelinas Goulet1983).
Аналізи розведень в агарі і бульйоні показали речовини, що не збігаються, що впливають на антимікробну активність МЧД. Ця невідповідність може пояснюватися відмінностями аналізів зростання мікроорганізмів та експозиції антимікробним агентом (Riosс співавторами, 1988; Hiliс співавторами, 1997). Присутність дріжджів хоча достовірно і не впливало на результати аналізів розведень в агарі та в бульйоні, експерименти з Уайтмор-Мінер показали явний вплив дріжджів на антимікробну активність. Можливо, це наслідок суттєвих методологічних відмінностей, наприклад тривалості експозиції МЧД на мікроорганізми та температури проведення аналізів.
Методику Уайтмора-Мінера можна вдосконалити виконанням підрахунку життєздатних мікроорганізмів замість повідомлення результату як позитивне чи негативне зростання. Це дозволить підвищити відтворюваність, оскільки результати «позитивне зростання»/«негативне зростання» сильно спотворюються помилками вибірки (Coates1988; Bloomfield1991; Miner з співавторами, 1997). Підрахунок числа життєздатних мікроорганізмів дозволить розраховувати логарифмічний показник зниження чисельності – параметр, який широко застосовується для вимірювання антимікробної активності речовин (Coates1988). Крім того, методику можна доповнити декількома (замість одного) моментами часу, що дозволить дослідити зміни антимікробної активності як функцію від часу.
Усі впливають активність взаємодії дозволяють краще зрозуміти механізм дії МЧД, про який досить мало відомо (Gustafson з співавторами 1998). Серед цікавих гіпотез можна виділити такі: механізми антимікробної дії, різні для різних типів мікроорганізмів; або оскільки МЧД містить понад 100 компонентів, то вони можуть діяти по-різному, і деякі з них можуть синергічно впливати на мікробні клітини. Проведені раніше дослідження показали різний ступінь активності певних компонентів МЧД по відношенню до мікроорганізмів (Carsonі Riley1995). Тому можуть бути корисними дослідження очищених компонентів. Іншим цікавим напрямом є дослідження якихось інших факторів чи умов, здатних впливати на антимікробну активність МЧД, наприклад, рН та температури. Також буде корисною ідентифікація речовин, що нейтралізують активність МЧД, оскільки в багатьох дослідженнях антимікробної активності застосовується один або кілька нейтралізаторів для зупинення поточних ефектів антимікробних агентів та мікробних клітин (Russell з співавторами 1992).
Також поки що залишаються маловивченими взаємодії між МЧД, що місцево застосовується, і органічним дебрисом шкіри, слизових оболонок або ран. Разом з тим ці органічні речовини можуть впливати на клінічну ефективність МЧД або одержуваних на його основі препаратів. На клінічну ефективність також може вплинути склад фармацевтичного засобу із МЧД. Не виключено, що крім поверхнево-активних речовин інші наповнювачі фармацевтичної формули також здатні послаблювати активність антимікробних компонентів (Allwood і Shaw1987), у тому числі і МЧД.
Отже, дана робота показала, що поверхнево-активні речовини послаблюють антимікробну активність МЧД, найімовірніше, за рахунок міцелярної солюбілізації. Органіка також чинила подібний вплив на активність, швидше за все, за допомогою не одного, а декількох механізмів, у тому числі і реакцій між органікою та МЧД у поєднанні зі специфічними для даного мікроорганізму факторами. Подібні взаємодії здатні впливати на клінічну ефективність МЧД та одержуваних на його основі препаратів, тому потребують подальшого вивчення.
ВДЯЧНІСТЬ
Ця робота була виконана за підтримки компанії Australian Bodycare Corporation Pty Ltd, Currumbin, шт. Новий Південний Уельс, Австралія і, частково, коштом гранту від Rural Industries Research та Development Corporation (UWA-24 A).
ПЕРЕЛІК ЛІТЕРАТУРИ
Allwood, M.C. and Shaw, RJS. (1987) Видання з mixtures, suspensions and syrups. In Preservatives in the Food, Pharmaceutical and Environmental Industries ed. Board, RG, Allwood, M.C. and Banks J.G. pp. 197-210. Oxford, UK: Blackwell Scientific Publications.
Altman, PM. (1989) Australian tea tree oil - a natural antiseptic. Australian Journal of Biotechnology 3, 247-248.
Bean, H.S. (1967) Типи і особливості розслаблення. Journal of Applied Bacteriology 30, 6-16.
Bishop, C.D. (1995) Antiviral activity of the essential oil of Mel-aleuca alternifolia (Maiden and Betche) Cheel (tea tree) проти tobacco mosaic virus. Journal of Essential Oil Research 7, 641-644.
Bloomfield, S.F. (1991) Методи для визначення antimicrobial діяльності. У mechanismsAction ofChemical Biocides, Their Study and Exploitation ed. Denyer, S.P. та Hugo, W.B. pp. 1-22. Oxford, UK: Blackwell Scientific Publications.
Brophy, JJ, Davies, NW, Southwell, I.A., Stiff, I.A. та Williams, L.R. (1989) Гас хроматографічної якості контролю за олією Mel-aleuca terpinen-4-ol type (Australian tea tree). Journal ofAgri-cultural and Food Chemistry 37, 1330-1335.
Carson, C.F. та Riley, T.V. (1993) Antimicrobial activity of essential oil of Melaleuca alternifolia. Letters in Applied Microbiology 16, 49-55.
Carson, C.F. та Riley, T.V. (1995) Antimicrobial activity of major components of essential oil of Melaleuca alternifolia. Journal of Applied Bacteriology 78, 264-269.
Carson, C.F. та Riley, T.V. (1996) Working with and against tea tree oil - issues of synergy and antagonism. Abstract 8. In Program і Abstracts of 19th International Federation of Societies ofCosmetic Chemists Congress. Sydney, Australia: International Federation of Societies of Cosmetic Chemists.
Coates, D. (1988) Comparison of sodium hypochlorite and sodium dichloroisocyanurate disinfectants: neutralization by serum. Journal of Hospital Infection 11, 60-67.
Gelinas, P. and Goulet, J. (1983). Journal ofApplied Bacteriology 54, 243-247.
Gorbach, S.L., Bartlett, J.G. та Blacklow, N.R. (1992) Infectious Diseases. Philadelphia, USA: W.B. Saunders, Company.
Gorman, S.P. та Scott, E.M. (1980) A review. Antimicrobial діяльність, використання і mechanismus of action glutaraldehyde. Journal ofApplied Bacteriology 48, 161-190.
Graham, В.М. (1978) Розвиток Australian legislation for disinfectants. Australian Journal ofHospital Pharmacy8, 149-155.
Gustafson, J.E., Liew, Y.C., Chew, S. et al. (1998) Effects of tea tree oil on Escherichia coli. Letters in Applied Microbiology 26, 194198.
Hammer, K.A., Carson, C.F. та Riley, T.V. (1996) Susceptibility transient і commensal skin flora до essential oil Mel-aleuca alternifolia (tea tree oil). American Journal ofInfection Control 24, 186-189.
Hili, P., Evans, C.S. та Veness, R.G. (1997) Antimicrobial дія з essential oils: ефект dimethylsulfoxide on activity of cinnamon oil. Letters in Applied Microbiology 24, 269-275.
Humphrey, E.M. (1930) A new Australian germicide. Medical Journal of Australia 1, 417-418.
International Organization for Standardization (1996) ISO 4730 Oil of Melaleuca, terpinen-4-ol type (tea tree oil). Switzerland: International Organization for Standardization.
Knight, T.E. і Hausen, В.М. (1994) Melaleuca oil (tea tree oil) dermatitis. Journal of the American Academy of Dermatology 30, 423-427.
Marshall, A.J.H. та Piddock, L.J.V. (1994) Interaction of divalent cations, quinolones and bacteria. Journal ofAntimicrobial Chemotherapy34, 465-483.
Miner, N., Armstrong, M., Carr, CD, Maida, B. and Schlotfeld,L. (1997) Modified quantitative Association of Official Analytical Chemists Sporicidal test for liquid chemical germicides. Applied and Environmental Microbiology63, 3304-3307.
Nenoff, P., Haustein, U.-F. and Brandt, W. (1996) Antifungal activity of essential oil of Melaleuca alternifolia (tea tree oil) проти pathogenic fungi in vitro. Skin Pharmacology 9, 388-394.
Park, M.K., Myers, R.A.M. and Marzella, L. (1992) Oxygen tensions and infections: modulation microbial growth, activity antimicrobial agents, and immunologic responses. Clinical Infectious Diseases 14, 720-740.
Penfold, A.R. і Morrison, F.R. (1937) Подібні помітки на essential oil Melaleuca alternifolia. Australian Journal ofPharmacy 18, 274-275.
Реммаль, А., Бучікі, Т., Тантауї-Еларакі, А. і Еттайебі, М. (1993) Усунення антибактеріальної активності essential oils Tween 80 and ethanol in liquid medium. Journal de Pharmacie deBelgique 48, 352-356.
Rios, JL, Recio, M.C. and Villar, A. (1988) Скринінгові методидля натуральних виробів з антимікродіяльністю: з огляду натерапію. Journal of Ethnopharmacology 23, 127-149.
Russell, A.D. and Chopra, I. (1990) Під розумінням антибактеріальної дії і репресії. West Sussex, UK: Ellis Horwood Ltd.
Russell, A.D., Hugo, W.B. and Ayliffe, G.A.J. (1992) Principles andPractice ofDisinfection, Preservation and Sterilisation, 2nd edn.Oxford, UK: Blackwell Scientific Publications.
Whitmore, E.J. та Miner, N.A. (1976) Analysis and optimizationof quantitative organic soil neutralisation test for disinfectants. Journal of Association of Official Analytical Chemists 59, 1344-1351.



